다음 논문은 BO를 이용해 instruction(프롬프트)를 자동 생성하는 방법을 제안한 연구입니다:
Sabbatella et al., “Bayesian Optimization for Instruction Generation (BOInG)”, Applied Sciences, 2024
1. 문제 설정: 왜 Instruction을 BO로 최적화하는가?
LLM의 성능은 **instruction(=프롬프트)**에 매우 민감합니다.
특히 **black-box LLM (예: GPT-3.5, GPT-4o)**에서는 gradient 접근이 불가능하므로,
instruction 최적화는 black-box combinatorial optimization 문제가 됩니다.
논문은 이를 다음과 같이 정식화합니다 (Sec. 2.1, Eq. (1)):
- p: 길이 L의 prompt
- V: vocabulary
- f: LLM
- h: task-specific metric (accuracy, F1 등)
문제점:
- Search space 크기: → 지수적 explosion
- Black-box 모델 → gradient 사용 불가
- Hard prompt tuning은 combinatorial optimization
2. 기존 접근의 한계
논문은 세 가지 BO 기반 접근을 비교합니다 (Sec. 2):
(1) Vanilla BO for Hard Prompt Tuning
- continuous relaxation 후 rounding
- GP surrogate + UCB acquisition
- 문제: rounding 시 semantic 붕괴 가능
(2) InstructZero (Chen et al., 2023)
- low-dim soft prompt 공간에서 BO
- open-source LLM이 soft prompt → instruction 생성
- black-box LLM이 task 수행
한계:
- open-source white-box LLM 필요
- high compute 요구
(3) Instinct
- GP 대신 transformer surrogate
- neural bandit 기반
한계:
- white-box 모델 필요
- 고비용 GPU 환경 필요
3. BOInG의 핵심 아이디어
BOInG는 다음 문제를 해결하려 합니다:
“continuous latent space에서 탐색하면서도,
실제 LLM embedding space에 가까운 영역만 탐색하도록 유도하자”
3.1 전체 파이프라인 (Figure 5, p.8)

Workflow:
- Soft prompt
- Random projection
- High-dim embedding space로 projection
- 가장 가까운 token embedding 찾기
- Hard prompt 복원
- Instruction generator LLM (Mg) 실행
- Solver LLM (Ms) 평가
- BO 업데이트
4. 핵심 수식: Penalty-regularized UCB
기존 BO는:
문제:
random projection된 점 Ap[i]가
LLM token embedding과 너무 멀 수 있음 → nonsense instruction 생성
4.1 제안된 Penalty 함수 (Eq. 8)
해석:
- 각 projected token이
- 가장 가까운 실제 token embedding과 얼마나 먼지 측정
- 평균 거리
4.2 Penalized UCB (Eq. 9)
즉:
- exploration/exploitation 유지
- 하지만 embedding space에 가까운 후보만 선호
이게 이 논문의 핵심 기여입니다.
5. 왜 중요한가?
기존 방법:
- BO → continuous 탐색
- 이후 rounding
- semantic 붕괴 가능
BOInG:
- 탐색 자체를 embedding manifold 근처로 제한
- 구조적 prior 도입
- LLM-friendly region에서만 탐색
이는 일종의:
Embedding-aware Bayesian Optimization
으로 볼 수 있습니다.
6. 실험 결과 (Sec. 4)
6개 task에서 평가
| Task | BOInG | InstructZero | Instinct |
|---|---|---|---|
| Synonyms | 0.30 | 0.38 | 0.30 |
| Common | 0.17 | 0.15 | 0.21 |
| Letter List | 1.00 | 1.00 | 1.00 |
| Taxonomy | 0.82 | 0.82 | 0.85 |
| Word Sorting | 0.65 | 0.64 | 0.51 |
| Second Word Letter | 0.93 | 0.62 | 0.10 |
(표는 p.11 Table 1 기준)
결론:
- 성능은 InstructZero/Instinct와 유사하거나 일부 superior
- compute cost는 압도적으로 낮음
7. 계산 자원 비교 (Figure 2, p.3)
| Method | GPU | Params | Memory |
|---|---|---|---|
| BOInG | GPT-2 embedding only | 38M | ~147MB |
| InstructZero | 13B model | 26GB | |
| Instinct | 13B model | 26GB |
BOInG는:
- API 기반 black-box 사용
- embedding penalty만 로컬 계산
- white-box LLM full model 불필요
8. 이 논문의 본질적 의미
이 논문은 단순한 prompt tuning이 아니라:
“LLM embedding manifold를 고려한 BO”
를 제안한 것.
이는 다음과 연결됩니다:
- Latent BO
- Manifold-constrained optimization
- Trust-region BO
- Adversarial suffix LBO와 유사 개념
9. 한계
논문에서 명시한 한계:
- GPT-2 embedding 사용 → Mg embedding과 mismatch 가능
- GP surrogate 한계 (high-dim 어려움)
- categorical handling 문제
- multi-modal 확장 미검증
10. 한 줄 요약
BOInG는 embedding manifold-aware penalty를 도입한 저비용 black-box instruction optimization 방법이다.
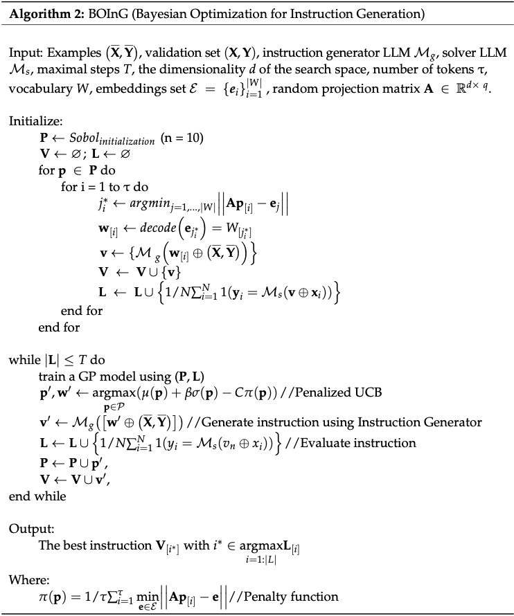
아래는 **BOInG (Bayesian Optimization for Instruction Generation)**의 방법론을 수식·알고리즘 중심으로 정리한 내용입니다.
1. 문제 정식화
두 개의 LLM을 사용합니다.
- : Instruction Generator (instruction 생성)
- : Solver (downstream task 수행)
목표는 hard prompt 를 찾아,
가 생성한 instruction을 에 넣었을 때 성능을 최대화하는 것:
논문에서는 (p.8, Eq. (7)) 다음과 같은 정확도 기반 loss를 사용합니다:
즉:
- hard prompt + few-shot examples →
- 생성된 instruction →
- validation 성능 측정
문제점:
의 조합 폭발 (combinatorial explosion)
2. Soft Prompt 공간으로 완화
직접 hard prompt를 탐색하지 않고,
의 low-dimensional soft prompt 공간에서 BO를 수행합니다.
- : LLM embedding dimension
3. Random Projection
soft prompt 를 LLM embedding 공간으로 매핑:
- embedding space
Random projection은 거리 보존 성질을 가짐 (Johnson–Lindenstrauss)
4. Hard Prompt 복원
LLM token embedding 집합:
각 projected vector 에 대해:
이렇게 soft prompt → hard prompt 변환.
5. 핵심 문제: Projection Drift
문제는:
- 가 embedding manifold에서 멀 수 있음
- 가장 가까운 token도 여전히 semantic incoherence 가능
- 이상한 instruction 생성
6. 제안: Penalty 함수 도입 (Eq. 8)
해석:
- projected embedding이 실제 token embedding과 얼마나 떨어져 있는지
- 평균 거리
이 값이 클수록 “비현실적인 soft prompt”
7. Penalized UCB
GP surrogate:
기존 UCB:
BOInG의 핵심 수정:
- : exploration–exploitation tradeoff
- C: manifold regularization strength
8. Bayesian Optimization Loop
Step 1: 초기화
- Sobol sampling으로 생성
- 각각 hard prompt로 변환
- instruction 생성
- 성능 평가
Step 2: GP 학습
GP posterior 계산:
Step 3: Penalized UCB 최적화
이때 동시에 nearest token index 계산.
Step 4: Evaluation
- → hard prompt
- instruction 생성
- validation score 계산
- GP 업데이트
9. 알고리즘 구조 (Algorithm 2)

요약:
Initialize P via Sobol
Evaluate initial prompts
while budget not exhausted:
Fit GP
p' = argmax (μ + βσ - Cπ)
Convert to hard prompt
Generate instruction
Evaluate score
Update dataset
return best instruction
10. 계산 설정 (실험 세팅)
- τ = 5 tokens
- d = 10
- β = 1
- C = 1
- random projection A ∼ Uniform(-1,1)
- 25 candidates per iteration
11. 방법론의 본질
BOInG는 단순히 BO를 쓴 것이 아니라:
Embedding manifold-aware Bayesian Optimization
으로 해석할 수 있습니다.
이는 다음과 유사합니다:
- Trust-region BO
- Manifold-constrained BO
- Latent Bayesian Optimization
- Adversarial suffix LBO (유사 구조)
12. 이 접근의 구조적 의미
BOInG는 다음 구조를 갖습니다:
Low-dim search space (P)
↓ random projection
High-dim embedding space (Ω)
↓ nearest neighbor
Discrete token space (W)
그리고 penalty는
Ω에서의 manifold distance regularization 입니다.
다음은 **BOInG (Bayesian Optimization for Instruction Generation)**의 실험 설정과 결과를 구조적으로 정리한 내용입니다.
1. 실험 설정
1.1 평가 지표 (Sec. 4.1)
태스크 특성에 따라 네 가지 metric을 사용:
| Metric | 설명 | 적용 태스크 |
|---|---|---|
| Exact Match (EM) | 완전 일치 시 1, 아니면 0 | Letter List, Second Word Letter |
| Exact Set (ES) | 예측 집합이 정답 집합과 정확히 일치 | Taxonomy |
| Contain | 예측이 정답 집합에 포함되면 1 | Word Sorting, Synonyms |
| F1 | 단어 단위 precision/recall 기반 | Common |
1.2 사용 태스크 (Sec. 4.2)
총 6개 태스크 (InstructZero 논문에서 일부 선택)
Easy
- Letter List
- Word Sorting
Challenging
- Taxonomy
- Synonyms
- Second Word Letter
- Common
1.3 하이퍼파라미터
- Soft prompt 길이 = 5
- Latent dimension d = 10
- Random projection
- β = 1
- C = 1 (penalty weight)
- 초기 Sobol 샘플 10개
- iteration당 25개 후보 탐색
- LLM: GPT-3.5 Turbo
2. 정량 결과 (Table 1)
| Task | Difficulty | BOInG | APE | Instinct | InstructZero |
|---|---|---|---|---|---|
| Synonyms | Challenging | 0.30 | 0.36 | 0.30 | 0.38 |
| Common | Challenging | 0.17 | 0.07 | 0.21 | 0.15 |
| Letter List | Easy | 1.00 | 1.00 | 1.00 | 1.00 |
| Taxonomy | Challenging | 0.82 | 0.35 | 0.85 | 0.82 |
| Word Sorting | Easy | 0.65 | 0.33 | 0.51 | 0.64 |
| Second Word Letter | Challenging | 0.93 | 0.75 | 0.10 | 0.62 |
(출처: Table 1, p.11 )
3. 결과 해석
3.1 전반적 성능
- InstructZero/Instinct와 거의 동등
- 일부 태스크에서 outperform
특히:
- Second Word Letter: BOInG 0.93 (Instinct 0.10 대비 압도적 우위)
- Word Sorting: BOInG 0.65 (APE 대비 큰 개선)
- Taxonomy: InstructZero와 동일 (0.82)
3.2 Easy vs Challenging
Easy Tasks
- 모든 방법이 Letter List에서 1.00
- Word Sorting에서는 BOInG가 Instinct/APE보다 우수
Challenging Tasks
- Common, Synonyms는 여전히 낮은 점수 (본질적으로 어려움)
- Second Word Letter는 BOInG가 크게 우수
→ penalty가 syntactic precision task에서 효과적일 가능성
4. 계산 비용 비교 (Figure 2, p.3)
| Method | Parameters | Memory | GPU |
|---|---|---|---|
| BOInG | 38.6M | ~147MB | NVIDIA T4 |
| InstructZero | 13B | 26GB | A6000 |
| Instinct | 13B | 26GB | A100 |
핵심:
- BOInG는 GPT-2 embedding만 로컬 사용
- instruction/solver는 API 호출
- white-box LLM 불필요
5. Instruction 진화 예시 (Table 2, p.12)
Synonyms 태스크 예시:
| Iteration | Hard Prompt | Generated Instruction | Score |
|---|---|---|---|
| Init | waalf addingolatedprom | Provide synonymous words for each input. | 0.40 |
| 1 | waalf addedolated leng | Provide alternative words for each given input. | 0.40 |
| 2 | ceryalfPOST withdrawnitia | Provide synonyms for the given words. | 0.45 |
| 3 | ceryge Sleepaos safegu | Provide synonymous terms for the given words. | 0.55 |
관찰:
- hard prompt는 거의 랜덤 문자열
- instruction은 점점 명확하고 구체적
- score 점진적 상승
→ BO가 실제로 instruction quality를 개선함을 시사
6. 저자들의 결론 (Sec. 5)
- 성능은 SOTA와 동등 수준
- 계산 비용은 현저히 낮음
- black-box LLM만으로 동작 가능
7. 비판적 분석
7.1 강점
- low compute
- closed-source LLM 활용 가능
- embedding manifold regularization 효과 입증
7.2 한계
- GPT-2 embedding 사용 → mismatch 가능
- 6개 태스크만 평가 (24개 전체 아님)
- 통계적 유의성 검정 없음
- 반복 실험 variance 미보고
8. 연구 관점에서 중요한 포인트
이 결과는 다음을 시사:
- Embedding-aware constraint는 실제로 도움이 됨
- Hard rounding BO보다 안정적
- Latent BO가 instruction engineering에 실용적
BOInG에서 사용하는 random projection이 왜 “거리 보존”을 한다고 말할 수 있는지,
그 이론적 근거가 되는 Johnson–Lindenstrauss (JL) Lemma를 수학적으로 정리해 보겠습니다.
1. 문제 상황
고차원 공간 에 있는 점들:
이를 더 낮은 차원 로 투영하고 싶습니다.
요구사항:
모든 점 쌍의 유클리드 거리가 거의 보존되기를 원함
즉,
2. Johnson–Lindenstrauss Lemma (정식)
임의의 에 대해,
점 개수 n이 주어지면,
차원만 확보하면,
임의의 점 집합 에 대해
다음이 성립하는 선형 사상 가 존재합니다:
즉,
모든 쌍의 거리 왜곡이 이하
3. Random Projection이 왜 이 조건을 만족하는가?
JL lemma의 핵심은:
“랜덤 가우시안 행렬로 투영하면 높은 확률로 거리 보존”
투영:
여기서
또는
3.1 직관
고차원 벡터의 길이:
랜덤 선형 조합:
각 좌표는:
- 평균 0
- 분산
즉,
정규화하면:
→ 기대값에서 정확히 보존
3.2 왜 높은 확률로 유지되는가?
이는 concentration of measure 현상 때문입니다.
고차원에서:
- 서로 다른 방향의 랜덤 투영은 거의 직교
- 분산이 평균 주변에 집중
Chernoff bound를 사용하면:
따라서:
이면 모든 점쌍에 대해 보존됨.
4. BOInG에서의 의미
BOInG는:
를
로 투영합니다.
JL lemma가 의미하는 것:
- low-dimensional 공간에서의 거리 구조가
- high-dimensional embedding 공간에서도 거의 유지됨
즉,
5. 왜 이것이 중요한가?
BO는 surrogate model에서 kernel 기반 거리 계산을 합니다:
random projection이 거리 보존하면:
- kernel 구조가 왜곡되지 않음
- low-dim space에서 탐색해도
- high-dim embedding geometry를 유지
6. 직관적 이해
고차원 공간에서는:
- 대부분의 벡터가 거의 직교
- 랜덤 방향 투영해도 전체 구조가 크게 붕괴되지 않음
따라서:
고차원 manifold의 전역 구조를 비교적 작은 차원으로 압축 가능
7. 한계
JL lemma는:
- 유한한 점 집합에 대해 보장
- 연속 공간 전체에 대해 보장하지 않음
- 점 수 n 증가 시 필요한 d 증가
BOInG에서는:
- 실제 탐색 점 수가 제한적
- 따라서 JL 조건 만족 가능
8. LLM 맥락에서 중요한 해석
Embedding 공간은:
- 의미적 거리 구조를 담고 있음
Random projection이 거리 보존하면:
의미 구조의 상대적 관계가 유지될 가능성
그러나:
- semantic manifold는 선형 구조가 아닐 수 있음
- 따라서 완전한 보존은 아님
그래서 BOInG는 penalty term을 추가함.
9. 요약
Johnson–Lindenstrauss lemma는 다음을 보장합니다:
랜덤 선형 투영은 차원만 있어도 점 집합의 거리 구조를 거의 보존한다.
BOInG에서는 이를 활용해:
- low-dim BO 수행
- high-dim embedding space와의 일관성 유지
이번에는 BOInG에서 acquisition function을 어떻게 실제로 최적화하는지를 수식–알고리즘–기하학적 관점까지 상세히 정리하겠습니다.
1. 최적화 대상: Penalized UCB
BOInG의 acquisition은 다음입니다:
여기서
- : GP posterior mean
- : GP posterior std
- : embedding manifold penalty
- : exploration 계수
- C: regularization 강도
우리가 실제로 푸는 문제는:
2. 왜 이 최적화가 어려운가?
2.1 비선형 + 비미분 가능 구조
문제점:
- min 연산 → non-smooth
- nearest-neighbor → piecewise function
- high-dimensional embedding space
따라서:
gradient-based continuous optimizer는 부적합
3. BOInG의 실제 acquisition 최적화 방법
논문에서는 다음을 사용합니다:
SampleReducingMCAcquisitionFunction
(진화적/샘플링 기반 탐색)
즉, gradient descent가 아니라:
Population-based search
4. 최적화 절차 (구체적)
Step 1: 후보군 샘플링
low-dimensional space 에서
- Sobol sequence 초기화
- 이후 iteration마다 25개 후보 샘플 생성
Step 2: 각 후보에 대해 계산
각 p에 대해:
① GP posterior 계산
이는 closed-form:
② Penalty 계산
각 token position i:
이때:
- 모든 token embedding과 거리 계산
- GPU로 병렬 처리
③ Penalized UCB 계산
Step 3: Top-K 선택
- 25개 중 가장 높은 acquisition 값 선택
- 해당 p가 다음 iteration에 사용
5. 왜 샘플링 기반인가?
이유 1: penalty가 non-smooth
nearest-neighbor 때문에:
- gradient 불연속
- region마다 다른 active token
이유 2: 차원은 낮음
- d = 10
- τ = 5
- 총 차원 = 50
→ 50차원 정도면 sampling 기반 충분히 가능
6. 기하학적 해석
BOInG acquisition은 다음을 동시에 수행:
이는 다음과 동일:
GP 탐색 + embedding manifold trust-region
penalty가 없으면:
- projected point가 embedding convex hull 밖으로 튀어감
- rounding 시 incoherent token 발생
penalty가 있으면:
- 실제 token embedding cluster 근처에서만 탐색
7. 최적화 관점에서 보면
이것은 사실:
를 형태로 바꾼 것.
즉: constrained Bayesian optimization의 Lagrangian 형태
8. 시간 복잡도 분석
각 acquisition 계산 비용:
GP 계산:
(데이터 포인트 수 n은 매우 작음, 수십 개)
penalty 계산:
- |W| ≈ 50k (GPT-2)
- τ = 5
- GPU 병렬 가능
실제 병목은 penalty 부분.
9. 수학적으로 보면
penalty는 사실:
여기서 은
token embedding manifold
따라서 acquisition은:
이는
Manifold-Regularized Bayesian Optimization
10. 이 구조의 약점
- nearest-neighbor는 hard assignment
- embedding mismatch 문제 (GPT-2 vs GPT-3.5)
- penalty weight C tuning 필요
- sampling search는 local optimum 위험
11. 핵심 요약
BOInG의 acquisition 최적화는:
- Penalized UCB
- Non-smooth manifold constraint
- Sampling-based evolutionary search
- Low-dimensional latent BO
즉,
Constrained, Manifold-aware, Black-box Bayesian Optimization
답글 남기기